数学T 二次関数の標準形
二次関数の標準形への変形は、
つまずく人が多い項目です。 難しい気がしますが、慣れたら簡単です。 だから、しっかり理解して復習をしてたくさん問題を解いて慣れてください。
二次関数のグラフで、頂点の座標は中学生の時には、必ず原点と一致していました。 高校の数学では、原点以外の点が頂点になる問題も扱います。 そこで、頂点の座標を求めるために、二次関数の 一般形を標準形に変形することが必要になります。
では、二次関数を標準形に変形する方法について説明していきます。
では、実際に例題を使って、説明していきましょう。
次の例題で説明しましょう。
まず、xの係数6に注目します。 この6の半分の2乗をプラスとマイナスを付けて式に加えます。
x2 + 6 x + 32 の 3項が(x+3)2となり、 後ろの1 -
32 を計算して出来上がりです。
では、次の問題1を解いてみて下さい。 解答が出来たら、ボタンを押して板書を見てください。
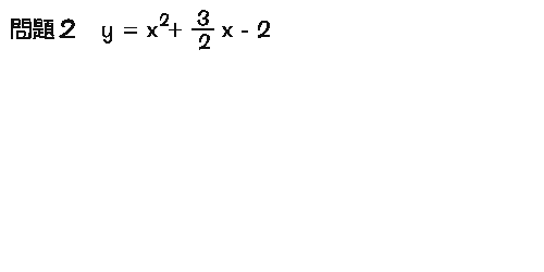
では、次に問題2をやってみて下さい。
上手く出来たましたか?では、解答を見て確認しましょう。
分数の計算を確実にしないと間違えてしまうので、 丁寧に計算するようにしましょう。
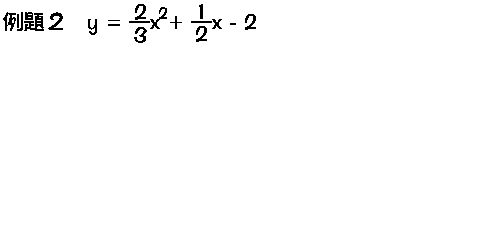
最後に、もう一段階難しい形をやってみましょう。 このパターンが出来るようになれば、完璧です。
では、例題2をやってみるので、よく見て下さい。
x2と x の項を2/3 でくくります。
カッコの中の x の係数が3/4 なので、 その半分の 3/8 の2乗を、たしたものと引いたものを 加えます。 中カッコの中の−(3/8)2を2/3 とかけてカッコの外に出します。 カッコの中の3項がまとまり、後ろを計算して完成です。
